
当今社会节能环保已成为社会焦点议题。LED因其高效、节能、环保、寿命长、色彩丰富、体积小、耐闪烁、可靠性高、调控方便等诸多优点等特点受到人们的广泛关注,被认为是21世纪最有前途的照明光源。传统的白炽灯效率低、耗电高;荧光灯省电,但使用寿命短、易碎,废弃物存在汞污染;高强度气体放电灯存在效率低、耗电高、寿命短、电磁辐射危害等缺点;若能以LED照明取代目前的低效率、高耗能的传统照明,无疑能缓解当前越来越紧迫的能源短缺和环境恶化问题。由于LED自身的伏安特性及温度特性,使得LED对电流的敏感度要高于对电压的敏感度,故不能由传统的电源直接给LED供电。因此,要用LED作照明光源首先就要解决电源驱动的问题。传统的LED驱动电源虽然可以实现LED亮度调节,但是不能实现功率因数校正,输入功率因数比较低,谐波比较大。为了使LED电源的输入电流谐波满足要求,必须加功率因数校正。本文介绍一种单级PFC反激式LED电源,该电源所用器件少,损耗低,具有较高的的功率因数和效率。
1 电路原理分析
图1为电路简图。电路采取单级反激式拓扑,由全波整流,DC/DC变换,输出整流滤波电路,误差反馈电路,PWM控制器电路构成。
	
FAN7527B是飞兆半导体公司推出的有源功率因数校正控制芯片。该芯片内部乘法器电路的优异性能,可以用于宽交流市电输入电压范围的应用场合(85~265VAC)。并使所构成电路的THD值很小,从而获得良好的有源功率因数校正控制功能。它的启动工作电流只有几十微安,利用它的零电流检测FAN7527B的5脚可以实现电路的关断控制功能。
电路的输入电容的容量很小(即交流输入市电整流输出滤波电容容量很小),因此APFC电路的输入电压最大值很接近于交流输入市电电压整流后输出电压的峰值。该电路的主要优点是它的高功率因数(一般大于0.92),可以很好地满足有关EMC和THD的技术要求,特别是在宽交流市电输入电压范围的应用场合更是如此。在输出重负载的应用场合,该电路可以得到较高的工作效率,一般工作效率接近90%,工作于电流临界导通工作模式可以使APFC功率开关管MOSFET的导通损耗比较小,有利于减少散热器的体积。
图中C1上的电压为经过桥式整流后的电压,Rs1采样流过MOS管的电流,进行逐周期限电流控制,使MOS管的电流峰值不至于太大,确保负载短路时变压器不发生磁饱和。利用辅助绕组完成变压器一次绕组的电流过零检测(APFC变压器去磁),控制功率开关管Q2重新开始下一个开关导通工作周期的工作,FAN7527B的Idet引脚外接的电阻R4阻值在几十千欧的范围内,使电路工作于“准零电压导通”的工作方式。R4电阻值取值和变压器的一次绕组的电感量和功率开关管MOSFET的输出电容有关,具体电阻值可以通过实验来确定,本电路中取值为33K。Rs2采样负载LED电流信号,R7、R8构成分压网络对LED上的电压进行采样。Rs2采样LED上的电流与TM101上的基准信号CVin进行比较,经误差经放大器对输出进行恒流控制,LED的亮度和流过LED的电流大小基本成正比的,只要控制流过LED的电流大小就可以调节LED的亮度。R7、R8采样LED上的电压与TM101上的基准信号CVin进行比较,经误差放大器对输出电压控制,送入TM101的这两路信号相“与”后通过光耦送入控制芯片FAN75 27B的误差放大器进入乘法器。乘法器另一路是通过R13、R19、R23和R27采样经全波整流后的市电信号,这两路信号的乘积就是乘法器输出,该输出信号使得电感电流跟踪乘法器的输出波形信号,产生的PWM脉冲控制MOS管Q1的开关,实现对负载电流和输入电流的控制,完成LED实现对LED的恒流限压控制和输入功率因数的校正。
2 变压器参数计算
变压器是电源的核心器件之一,变压器性能的好坏不仅影响变压器自身发热和效率,而且还会影响到开关电源的技术性能和可靠性,所以在设计制作时,对磁芯材料的选择,磁芯与线圈的结构,绕制工艺等都要周密考虑。
设计参数:①fs=80-120kHz,Bs=0.2T,D=0.45;②AP=Ae×Aw=1.82cm4;③输入输出电压:Vin=176~264VAC;Vout=176~264VAC;=36V;④输出电流:Io=3.8A,⑥电路形式:反激式,变压器选用PC40 PQ32/25磁芯。
(1)变压器的参数计算
变压器的设计输出能力
	
其中,电流密度δ=300A/cm2,输出功率PT=136W,窗口占空系数Kw=0.4。
变压器的实际输出能力AP=Ae×Aw=0.55cm4,磁芯满足设计要求。
(2)计算初、次级的峰值电流
	
(3)计算初级电感量及气隙长度
初级电感量
	
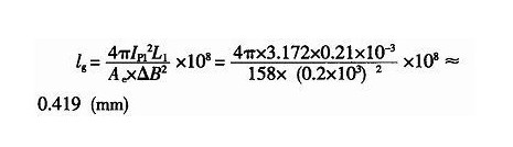
气隙长度(mm)
	
其中△B为磁通密度的变化量,△B=0.805BS+125GS=1730GS-0.173T,其中单位为mT。
(4)计算变压器绕组的匝数
a初级与次级匝数的变化
	
b初级绕组匝数:初级绕组的匝数
	
得到的匝数为21匝。
③次级绕组的匝数
输出电压均为36V,则得次级输出匝数N22=N21=N1/n=75/12.5=6,则取6匝。